目录
1 梯度下降介绍
视频是关于梯度下降法的讲解,介绍了梯度下降的基本思想和主要原理。梯度下降法是机器学习中常用的算法之一,通过寻找最低点来拟合数据和优化模型。视频还介绍了梯度下降法的各种变体,包括批量梯度下降、随机梯度下降和小批量梯度下降。此外,还提到了一些改进的梯度下降算法,如动态调节学习率和使用动量。这些算法可以提高计算效率和优化结果。
1.1 定义损失函数


1.2 批量梯度下降(BGD)、随机梯度下降(SGD)、小批量梯度下降(MBGD)
参考:https://zhuanlan.zhihu.com/p/72929546
1. 批量梯度下降(Batch Gradient Descent,BGD)
使用整个训练集的优化算法被称为批量(batch)或确定性(deterministic)梯度算法,因为它们会在一个大批量中同时处理所有样本。
批量梯度下降法是最原始的形式,它是指在每一次迭代时使用所有样本来进行梯度的更新。具体的算法可以参考——温故知新——梯度下降。
2. 随机梯度下降(Stochastic Gradient Descent,SGD)
随机梯度下降法不同于批量梯度下降,随机梯度下降是在每次迭代时使用一个样本来对参数进行更新(mini-batch size =1)。
对于一个样本的损失函数为:

计算损失函数的梯度:

参数更新为:

3. 小批量梯度下降(Mini-batch Gradient Descent,MBGD)
大多数用于深度学习的梯度下降算法介于以上两者之间,使用一个以上而又不是全部的训练样本。传统上,这些会被称为小批量(mini-batch)或小批量随机(mini-batch stochastic)方法,现在通常将它们简单地成为随机(stochastic)方法。对于深度学习模型而言,人们所说的“随机梯度下降, SGD”,其实就是基于小批量(mini-batch)的随机梯度下降。
什么是小批量梯度下降?具体的说:在算法的每一步,我们从具有 m 个样本的训练集(已经打乱样本的顺序)中随机抽出一小批量(mini-batch)样本 X=(x(1),…,x(m′)) 。小批量的数目 m′ 通常是一个相对较小的数(从1到几百)。重要的是,当训练集大小 m 增长时,m′通常是固定的。我们可能在拟合几十亿的样本时,每次更新计算只用到几百个样本。
m′ 个样本的损失函数为:

计算损失函数的梯度:

参数更新:

mini-batch的SGD算法中一个关键参数是学习率。在实践中,有必要随着时间的推移逐渐降低学习率—学习率衰减(learning rate decay)。

2 梯度下降流程
2.1. 下降流程介绍
https://zhuanlan.zhihu.com/p/72374201
梯度下降的本质:是一种使用梯度去迭代更新权重参数使目标函数最小化的方法。
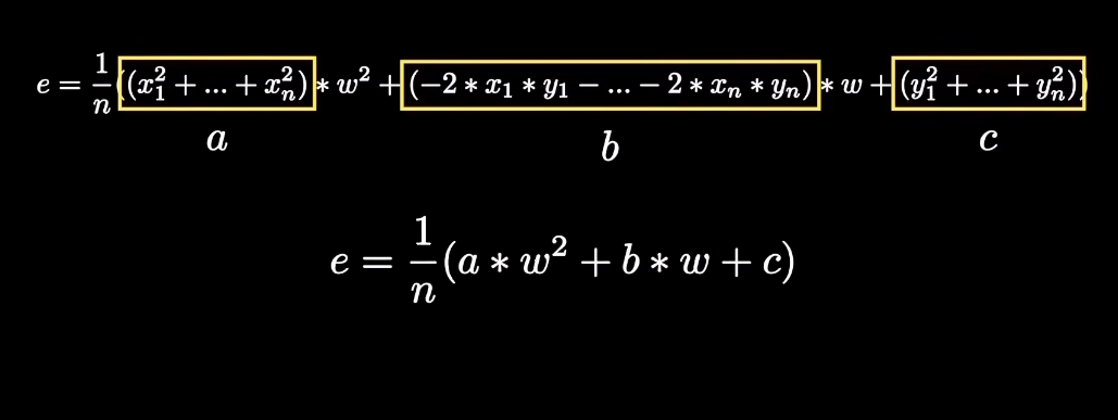
我们以线性回归为例: hθ(x)=θ0+θ1x 。假设我们一共有 m 个样本, (x(i),y(i)) (i=1,2,…,m) 。则损失函数为:

其中 θ 可以看做是一个参数向量, (θ0,θ1)T 。
计算损失函数的梯度,可以得到:

也就是说,为了使损失函数达到局部最小值,我们只需要沿着这个向量的反方向进行迭代即可。
那么参数的值到底该一次变化多少呢?我们通常用 α 来表示这个大小,称为“步长”。它的值是需要我们手动设定的。显然,步长太小,迭代速度太慢,很长时间算法都不能结束;而步长太大,会导致迭代过快,则有可能在下降时跳过了最优解。所以,我们应该根据实际的情况,合理地设置 α 的值。
在每次迭代中,我们令

即可使损失函数最终收敛到全局最小值或局部最小值,我们也得到了我们想要的参数值。
下图是在平面上的梯度下法示意图。从图中我们可以看出,每一次迭代是沿该点梯度的负方向进行的,一步一步趋向于局部最小值或全局最小值的。

对梯度下降算法的过程进行一下总结:
1. 确认优化模型的假设函数和损失函数;
2. 参数初始化:主要是初始化 θi (i=0,1,…,n) ,算法终止距离 ε 以及步长 α ;
3. 确定当前位置的损失函数的梯度;
4. 用步长乘以损失函数的梯度,得到当前位置下降的距离;
5. 更新所有的 θi ;
6. 确定是否所有的 θi 梯度下降的距离都小于 ε 。如果小于 ε 则算法终止,当前所有的 θi 即为最终结果。否则进入步骤4-5,继续更新。
2.2 流程举例
我们以 “用梯度下降法找函数 f(x) = x² 的最小值” 为例:
步骤说明:
- 目标函数:f(x) = x² (这是一个简单的抛物线,最小值在 x=0)
- 初始猜测:假设我们从 x = 3 开始
- 学习率(步长):α = 0.1(这是一个超参数,需要手动设定)
- 梯度(导数):f'(x) = 2x
梯度下降过程演示
第1步迭代:
- 当前位置:x₁ = 3
- 计算梯度:f'(3) = 2*3 = 6
- 更新公式:x₂ = x₁ – α * f'(x₁)
- 更新结果:x₂ = 3 – 0.1*6 = 2.4
第2步迭代:
- 当前位置:x₂ = 2.4
- 计算梯度:f'(2.4) = 2*2.4 = 4.8
- 更新结果:x₃ = 2.4 – 0.1*4.8 = 1.92
第3步迭代:
- 当前位置:x₃ = 1.92
- 计算梯度:f'(1.92) = 2*1.92 = 3.84
- 更新结果:x₄ = 1.92 – 0.1*3.84 = 1.536
继续迭代…
迭代过程表格
| 迭代次数 | 当前 x | 梯度 f'(x) | 更新后的 x |
|---|---|---|---|
| 1 | 3 | 6 | 2.4 |
| 2 | 2.4 | 4.8 | 1.92 |
| 3 | 1.92 | 3.84 | 1.536 |
| 4 | 1.536 | 3.072 | 1.2288 |
| 5 | 1.2288 | 2.4576 | 0.98304 |
| … | … | … | … |
关键点解释:
- 梯度(导数)的作用:梯度(这里是2x)告诉我们函数在当前位置的“上升方向”。梯度下降会向负梯度方向(即下降最快的方向)移动。
- 学习率 α:控制每一步的步长。如果 α 太大,可能跳过最小值;如果 α 太小,收敛速度会很慢。
- 收敛:经过多次迭代后,x 会逐渐接近0(最小值点)。
形象比喻:
想象你蒙着眼站在山坡上(当前位置 x=3),想要走到最低点。你每走一步前,先用脚试探哪个方向是下坡方向(计算梯度),然后按固定步长(α=0.1)向那个方向迈一步(更新 x)。重复这个过程,最终会走到谷底!
这就是梯度下降的核心思想:通过不断向负梯度方向调整参数,逼近函数的最小值
2.3 梯度下降的停止条件
1. 梯度接近零(足够小)
- 原理:当梯度(导数)的绝对值非常小,说明当前位置接近最小值(或鞍点)。
- 公式:∣f′(x)∣<ϵ∣f′(x)∣<ϵ(例如 ϵ=0.001ϵ=0.001)
- 例子:
- 假设当前 x=0.05x=0.05,梯度 f′(x)=2x=0.1f′(x)=2x=0.1,若 ϵ=0.1ϵ=0.1,则停止。
- 如果梯度是 0.050.05,且 ϵ=0.01ϵ=0.01,则继续迭代。
2. 参数变化很小
- 原理:当参数(如 xx)的更新量非常小,说明已经接近收敛。
- 公式:∣xnew−xold∣<ϵ∣xnew−xold∣<ϵ
- 例子:
- 当前 x=0.1x=0.1,更新后 x=0.095x=0.095,变化量 0.0050.005。若 ϵ=0.01ϵ=0.01,则继续迭代;若 ϵ=0.001ϵ=0.001,则停止。
3. 损失值不再明显下降
- 原理:当函数值(损失)的变化量很小,说明接近最低点。
- 公式:∣f(xnew)−f(xold)∣<ϵ∣f(xnew)−f(xold)∣<ϵ
- 例子:
- 当前 f(x)=0.1f(x)=0.1,更新后 f(x)=0.099f(x)=0.099,变化量 0.0010.001。若 ϵ=0.0005ϵ=0.0005,则继续迭代。
4. 达到最大迭代次数
- 原理:防止无限循环(如学习率太小或函数复杂时收敛慢)。
- 设定:预先设定最大迭代次数(如 1000 次)。
- 例子:
- 即使未完全收敛,迭代 1000 次后强制停止。
3 梯度下降法的缺点
1. 不能保证收敛到全局最优解
2. 靠近极小值时收敛速度减慢。
3. 直线搜索时可能会产生一些问题。
4. 可能会出现“之字形”下降。






